vh
stringlengths 101
135
| label
class label 2
classes |
|---|---|
QVQLQESGGGLVQPGGSLRLSCAASGFTFSSSWMYWVRQAPGKGLEWVASIGTGGSPYYADSVKGRFTISRDNAKNTLYLQMNSLKSEDTAVFYCAKAPTGPGYDYWGQGTQVTVSS
| 0non-binder
|
QVQLQESGGGLVQPGGSLRLSCAVSGFTLAYSNIGWFRQAPEKEREGVSCISGRGGKTEYVDSVKGRFTISRDNTKNTVYLQMNSLRPEDTAVYYCAAKMTTSLYVCDVNSNGMDYWGKGTQVTVSS
| 0non-binder
|
QVQLQESGGGLVQSGGSLRLSCAASGFTLDSYVIAWFRQAPGKEREAVSCISSSDGKTYYANSVNGRFTISRDNAENTVYLQMNSLKPEDTAVYYCAAEHMTGSLSLVFSLCAISYKYDYWGQGTQVTVSS
| 0non-binder
|
QVQLQESGGGLVQPGGSLRLSCAASGFTFSIYAMSWVRQAPGKGLEWVSDINSAGDSTYYLDSVKGRFTISRDNAKNTVYLQMDRLKPEDTAVYYCATDRRSTIVRMPRRTDFGSWGQGTQVTVSS
| 0non-binder
|
QVQLQESGGGLVQAGGSLRLSCAASGRTFSSVDMAWFRQAPGKEREFVAAITKSGGNTIYAESVKGRFTISRDNAENTVYLQMNSLEPEDTAVYYCAADRYYGASYSQASYDYWGQGTQVTVSS
| 0non-binder
|
QVQLQESGGGLVQAGGSLRLSCAASGISFSISAMAWYRQTPGKQRELVAVISSGGSTKYADSAKGRFTISRDNAKNTVYLQMNSLKPEDTAVYYCAADPSNTIAVVPYYYGMEYWGKGTQVTVSS
| 0non-binder
|
QVQLQESGGGLVQAGGSLRLSCAASGRTFSKNTMGWFRQAPGKEREFVAAINWSGGITDYEDSVKGRFIISRDNAKNTVYLQMNSLKPEDTAVYYCAAAQRPYGVLKVGDYEYDYWGQGTQVTVSS
| 0non-binder
|
QVQLQGSGGGLVLPGGSLKLSCQASGLTFSIYAMSWVRQAPGKGLEWVSDINSDGDNQYYADSVKGRFTISRDNAKNTVDLQMNSLKPEDTGVYYCATDRRATIARMVTRTDFGSWGQGTQVTVSS
| 0non-binder
|
QVQLQESGGGLAQPGGSLRLSCAASGFTFSSSTMSWARQAPGKGLEWVSGIYADGSNTYYADSVKGRFTISRDNAKNTVYLQMNSLKPDDTAVYYCAIGIRVEERQGYWGQGTQVTVSS
| 0non-binder
|
QVQLQESGGGLVQPGGSLRLSCAASGSTLDYSIGWFRQAPGKEREGVSCISSSDGSTYYADSVKGRFTMSRDNAKNTVYLQMNSLKPEDTAVYYCATSIAASLMCNTWYGYDYWGQGTQVTVSS
| 0non-binder
|
QVQLQESGGGLVQPGGSLRLSCAASGSTLDYYAIGWFRQAPGKEREGVSCISGSAGITNYADSVKGRFTISRDNAENTVYLQMNSLKPEDTAVYYCAAKWSWGTTEQVLCSMTSTYDYWGQGTQVTVSS
| 0non-binder
|
QVQLQESGGGLGLPGGSLKLSCQASGLTFSIYAMSWVRQAPGKGLEWVSDINSDGDNQYYADSVKGRFTISRDNAKNTVDLQMNSLKPEDTGVYYCATDRRATIARMVTRTDFGSWGQGTQVTVSS
| 0non-binder
|
QVQLQESGGGLVQAGGSMRLSCTASGFTFDDDYAIGWFRQAPGKEREEVACISVSDGSTYYADSVKGRFTISSDNAKNTVYLQMNSLKPKDTAVYYCAAEEGTITTAHAMGIMLGDAWGQGTQVTVSS
| 0non-binder
|
QVQLQESGGGLVQAGGSLRLSCAASGRTASAYAMGWFRQAPGKGRDFVGAISDGSTWYADSVKGRFTISRDNAKNTVYLQMNSLKPEDTAVYCCTAGPALGRWDYWGQGTQVTVSS
| 0non-binder
|
QVQLQESGGGLVQPGGSLRLSCAASGFTFSTFWMYWLRQAPGKGLEWVSSIAPDGDNTRYVDSVKGRFTISRDNAKNALYLQMNNLESEDTSVYYCARPGGGSSYYPFYDYWGQGTQVTSSH
| 0non-binder
|
QVQLQESGGGLVQPGGSLRLSCAASGFTFSNFWMYWVRQGPGEGLEWISKIYSGSDNSYYADAVKGRFTISRDNAKNTLYLQMSSLKAEDTAVYYCVKATAGGPGYDYWGQGTQVTVSS
| 0non-binder
|
QVQLQESGGGLVQFGGSLRLSCVASGFTIGYYAIGWFRQAPGKEREGVSCISSSGGSTYYADSVNGRFTISRDNAENTAYLQMDSLKPEDTAVYYCVAHPEPYCTGVDGTETPDEYWGQGTQVTVSS
| 0non-binder
|
QVQLQESGGGLVQPGGSLRLSCAASGFTFMNYVMYWVRQAPGKGLEWVSGINHRGNSTWYADSVRGRFTVSRDNAKNTLLLQMNSLKSEDTAVYYCARDANGTDRGQGTQVTVSS
| 0non-binder
|
QVQLQESGGGLVQPGGSLRLSCKTSEFTLDHYAIGWFRQAPGKEREGVSCISSSDGSTSYADSVKGRFTISRDNAKNTVYLQMNSLKPEDTAVYYCATQRRQRGWCGTYFPERDFGSWGQGTQVTVSS
| 0non-binder
|
QVQLQESGGGLVQAGDSLRLSCAASGRTFSSYNMGWFLQAPGKEREFVAVITWSGGSTYYADSVKGRFTISRDNARSTVYLQMNSLKPEDTAVYYCARQLGGSYYIPRGYDSWGQGTQVTVSS
| 0non-binder
|
QVQLQESGGGLVQAGGSLRLSCAASGSIFRINTMGWFRQAPGKQRELVAAITSRGSTNYADSVKGRFTISRDNGKNTLYLQMNSLKSEDTAVYYCAGDGSDYVGKYEWDWWGQGTQVTVSS
| 0non-binder
|
QVQLQESGGGLVQAGGSLRVSCTASGRTFSTYQMGWSRQAPGKEREFVAGISRSGSSTYYADSVKGRFTISRDNAKNTVYLQMNSLKPEDTASYYCAADGDPYHYNYERVGEYDYWGQGTQVTVSS
| 0non-binder
|
QVQLQESGGGLVQPGGSLRLSCATSGFTFRYYAIGWFRQAPGKERERVSCISDSGSSTEYADSVKGRFTISRDNAENTVYLQMNSLKPEDTAVYYCATRDIAGRLCSDKLDDYDYWGHGTQVTVSS
| 0non-binder
|
QVQLQESGGGLVQAGGSLRLSCVASGLTFSTYPMGWFRQAPGKEREFVAAVGLSGGGTLYADSVKGRFTIARDNAKNTLYLQMGSLKPEDTAVYSCARGAYRWGPPSSSLHHYDYWGQGTQVTVSS
| 0non-binder
|
QMQLQESGGGLVLPGGSLKLSCQASGLTFSIYAMSWVRQAPGKGLEWVSDINSDGDNQYYADSVKGRFTISRDNAKNTVDLQMNSLKPEDTGVYYCATDRRATIARMVTRTDFGSWGQGTQVTVSS
| 0non-binder
|
QVQLQESGGGLVQPGGSLRLSCAASGFTFDDYDMSWVRQAPGKGLEWVSSLYIFMGNTYYADSVKGRFTISTDNAKNTLYLQMNSLKSEDTAVYYCALRRRRWLSYDYWGQGTQVTVSS
| 0non-binder
|
QVQLQESGGGLVQPGGSLRLSCAASGFTFSTYAMSWVRQYPGKGLEWVSHIWSGGGITSYADSVKGRFTISRDNAKNTLYLQMNSLKPEDTAVYYCCSRSFDLLSTDYWGQGTQVTVSS
| 0non-binder
|
QVQLQESGGGLVKPGGSLRLSCQASGLTFSIYAMSWVRQAPGKGLEWVSDINSDGDNQYYADSVKGRFTISRDNASNTVDLQMNSLKAEDTGVYYCATDRRATIRRMPTRADFGSWGQGTQVTVSS
| 0non-binder
|
QVQLQESGGGLVLPGGSLKLSCQASGLTFSIYAMSWVRQAPGKGLEWVSDINSDGDNQYYADSVKGRFTISRDNAKNTVDLQMNSLKPEDTGVYYCATDRWATIARMVTRTDFGSWGQGTQVTVSS
| 0non-binder
|
QVQLQESGGGLVQAGGSLRLSCAASGGSFSSYAMGWFRQAPGKERELIAGISKKGFRTYYVDSVKGRFTISRDNAKNTVYLQMNSLNPDDTAVYYCAATDLQTTGGRSDRYDYWGQGTQVTVSS
| 0non-binder
|
QVQLQESGGGLAQPGGSLRLACVASGFTFSNYAMTWARQAPGHGLEWISGIVSDGSDTYYDDSVKGRFTISRDNAKNTLYLHIDKLEPEDSAVYYCATNGPHRALAPFGTWGQGTQVTVSS
| 0non-binder
|
QVQLQESGGGLVQPGGSLRLSCAASGFIFSVYDMSWVRQAPGKGLEWVAGINNGGSTTYTDSVKGRFTISRDNGKKMLFLQMNSLKPEDTAVYFCTKDDPGSRTLGGQGTQVTVSS
| 0non-binder
|
QVQLQESGGGLAQPGGSLRLSCAASGFTFSSYAMSWARQAPGKGLEWVSGIYSDGSDTYYADSVKGRFTISRDNAKNTVYLQMNSLKPEDTALYYCARGDYGLGTIKPWEYDYWGQGTQVTVSS
| 0non-binder
|
QVQLQESGGGLVLPGGSLKLSCQASGLTFSIYAMSWVRQAPGKGLEWVSDINSDGENQYYADSVKGRFTISRDNAKNTVDLQMNSLKPEDTGVYYCATDRRATIARMVTRTDFGSWGQGTQVTVSS
| 0non-binder
|
QVQLQESGGGLVRPGGSLRLSCTASGFTFSTYYMNWVRQAPGKGLEWVSDINGDGINTYYADSVKGRFTISRDNAKNMTYLQMNSLKPEDTALYYCTRDSAQGFGKWGQGTQVTVSS
| 0non-binder
|
QVQLQESGGGLVLPGGSLKLSCQASGLTFSIYAMSWVRQAPGKGLEWVSDINSDGDNQYYADSVKGRFTISRDNAKNTVDLQMNCLKPEDTGVYYCATDRRATIARMVTRTDFGSWGQGTQVTVSS
| 0non-binder
|
QVQLQESGGGLVQPGGSLRLSCVASGLTFSIYAMSWVRQAPGKGLEWVSDINSDGDSTYYADSVKGRFTISRDNAKNTVYLQMDRLKPEDTAVYYCATDRRSTIVRMPRRDDFGSWGQGTQVTVSS
| 0non-binder
|
QVQLQESGGGLVQPGGTLRLSCAASGFTLGDYAIGWFRQAPGKAREGVSCITRRDGSAYSADSVKGRFTISRDNAKNTVYLQMNSLKPEDTAVYYCAADSYTDFDERCNYSDAEFWGKGTQVTVSS
| 0non-binder
|
QVQLQESGGGLVQPGGSLRLSCSASGSTLTYYAIGWFRQAPGKEREGVSCISGSGRHTNYADSVKGRFTISRDSAKNAVYLQMNSLKPEDTAVYYCAAQKGNVQAMCVIQDLYDNWGQGTQVTVSS
| 0non-binder
|
QVQLQESGGGLVQAGGSLRLSCAASGLTFSRYGMGWFRQAPGKEREFVAAIRWSGGSTAYADSVKGRFTISRDNAKNTVYLQMNSLKPEDTAVYYCAAAWLKLGHVQGEYGYWGQGTQVTVSS
| 0non-binder
|
QVQLQESGGGLVQPGGSLTLSCAASGFAFANYDMRWVRQAPGKGAEVVSAINSGDGSTYYAESVKGRFTISRDNAKNMLYLQMNSLKPEDTGVYYCTTKGAAPPGQGTQVTVSS
| 0non-binder
|
QVQLQESGGGLVQPGGSLRLSCAASGFTFSSYAMSWVRQAPGKGLEWVSAINTGGGSTSYADSVKGRFTISRDNAKNTLYLQMNSLKPEDTAVYYCAKDLVENYSGSYYYPIYEYDYWGQGTQVTVSS
| 0non-binder
|
QVQLQESGGGLVQAGGSLRLSCAASGRAFSSYTMGWFRQAPGKERDFVAAISQSGGSTTYADSVKGRFTISRDNAKNTVYLQMNSLKPEDTAVYYCAAIISWYGHSRRERYNYWGQGTQVTVSS
| 0non-binder
|
QVQLQESGGGLVQAGGSLRLSCADSGRIFSSYVMGWFRQAPGKEREFVAAITWSGSRIYYADSVKGRFTISSDNAKNTVYLQMNSLKPEDTAIYYCAAERPGTGGYDYWGQGTQVTVSS
| 0non-binder
|
QVQLQESGGGLVQAGDSPRLSCAASGRTFSSYNMGWFRQAPGKEREFVAVITWSGGSTYYADSVKGRFTISRDNARSTVYLQMNSLKPEDTAVYYCARQLGGSYYIPRGYDSWGQGTQVTVSS
| 0non-binder
|
QVQLQESGGGLVQPGGSLRLSCAASGFTISAIAWFRQAPGKEREGVSCISSGSGLTEYADSVKGRFTISRDKVTNTVYLQMNSLKPEDTAVYYCAADTWYYCSGYASRPYGYWGQGTQVTVSS
| 0non-binder
|
QVQLQESGGGLVQAGGSLRLSCAASGPFFGSYAMAWFRQPPGKEREFVAAIDWNGGNTYYADSVKGRFAISRDNAKNTMYLQMNTLKPEDTALYYCASDQFVSSWYDHYEYTYWGQGTQVTVSS
| 0non-binder
|
QVQLQESGGGLVQPGGSLRLSCAASGLTFSIYAMSWVRQAPGKGLEWVSDINSGGDSTYYADSVKGRFTIYRDNAKNTVYLQMDRLKPEDTAVYYCATDRRSTIVAMPRRTDFGSWGQGTQVTVSS
| 0non-binder
|
QVQLQESGGGLVLPGGSLKLSCQASGLTFSIYAMSWVRQAPGKGLEWVSDINSDGDNQYYADSVKGRFTISRDNAKNTVYLQMNSLKPEDTAVYFCAKPSGWDWGQGTQVTVSS
| 0non-binder
|
QVQLQESGGGSVQAGGSLRLSCAASGHTFRNYAMGWFRQAPGKEREFVATISWSGSSTNYADSVKGRFTISRDNAKNTVYLQMNSLKPEDTAVYYCAADYLGVRATSEYDYDYWGQGTQVTVSS
| 0non-binder
|
QVQLQESGGGLVQAGGSLRLSCAASGSTFSLNEMGWYRQAPGKQREAVASIHTGDGSTNYADSVKGRFTISRDKAKNTMYLQMNSLKPEDTAVYYCNARMVVSTTPDYNDVDYWGKGTQVTVSS
| 0non-binder
|
QVQLQESGGGLVQPGGSLRLSCTTSGFTFRSYYMSWVRQAPGKGPEWVSTIQTNGARTRYVDSVKGRLTTSRDNAKNTLYLQMNDLKPEDTARYYCARAPLGAWGNERYEYDYWGQGTQVTVSS
| 0non-binder
|
QVQLQESGGGLVQPGGSLRLSCAASGFTFSTFAMSWARQAPGKGLEWVSGFYSDGSTYYTDSVQGRFTVSRDDAKKMVYLQMNSLQSEDTARYYCAIDPWYIGVNYYSGDYWGQGTQVTVSS
| 0non-binder
|
QVQLQESGGGLVQAGGSLRVSCTASGRTFSTYQMGWFRQAPGKEREFVASISRSGSSTYYADSVKGRFTISRDNAKNTVYLQMNSLKPEDTASYYCAADGDPYHYNYERVGEYDYWGQGTQVTVSS
| 0non-binder
|
QVQLQESGGGLVQPGGSLILSCTASGFTFSDYWMYWLRQAPGQGLEWISAINHLGDVDSTYYVDSVKGRFTISRDNTKNTLYLQMNSLKSEDTAVYYCAKDQREIYGSLPPNYDIKGQGTQVTVSS
| 0non-binder
|
QVQLQESGGGLVQPGGSLRLSCAASGFTLDYYNIGWFRQAPGKERKGVSCISGRGGSTRYADSVKGRFTIFRDNAKNTVYLQMDSLKSEDTAVFYCAADRFPDPCSLATTPLSGREYDYWGQGTQVTVSS
| 0non-binder
|
QVQLQESGGGLVQPGGSLRLSCAASGFTLDYYAIGWFRQAPGKEREGVSCISSSGGSTNYADSVKGRFTISRDNAKNTVYLQMNSLKPEDTAVYYCAAQQWDYYCSGYEYDYWGQGTQVTVSS
| 0non-binder
|
QVQLQESGGGLVQAGGSLRVSCTASGRTFSTYQMGWFRQAPGKEREFVAGISRSGSSTYYADSVKGRFTISRDNAKNTGYLQMNSLKPEDTASYYCAADGDPYHYNYERVGEYDYWGQGTQVTVSS
| 0non-binder
|
QVQLQESGGGLVQPGGSLRLSCAASGFTLDYYAIAWFRQAPGKEREGVSCISSSGGSTNYADSGKGRFTISRDNAKNTVYLEINSLKPEDTAVYYCAAAWNTGSFRLCVLRNLKFDYWGQGTQVTVSS
| 0non-binder
|
QVQLQESGGGLVQAGGSLRLSCATSGRTFSMYAVGWFRQAPGKEREFVASISWHGGSTYYADSVKGRFTISRDNANAKNMVFLQMNSLNSEDTSVYYCAAQTRAGGSYYLTGPYEYDYWGQGTQVTVSS
| 0non-binder
|
QVQLQESGGGLVLPGGSLKLSCQASGLTFSIYAMSWVRQAPGKGLEWVSDINSDGDNQYYADSVKGRFTISRDNAKNTVDLQMNSLKPEDTGVYYCATDRSATIARMVTRTDFGSWGQGTQVTVSS
| 0non-binder
|
QVQLQESGGGLVQAGGSLRVSCTASGRTFSTYQMGWFRQAPGKEREFVAGISRSGSSTYYADSVKGRFTISRDNAKNTVYLLMNSLKPEDTASYYCAADGDPYHYNYERVGEYDYWGQGTQVTVSS
| 0non-binder
|
QVQLQESGGGLVQPGGSLRLSCAASGFTFSKYAMNWVRQAPGKGLEWVSGISSGGSTNYADSVKGRFTISRDNTKNTLYLQMNGLKPEDTAVYYCAMGSQRGQGTQVTVSS
| 0non-binder
|
QVQLQESGGGLVQPGGSLRLSCAASGFTFSTYHMSWVRQAPGKGLEWVSDINRGGTSTYYADSVKGRFTISRDNAKNTVYLQMNSLKPEDTSVYYCAKCKYNWRRCASDEYDYRGQGTQVTVSS
| 0non-binder
|
QVQLQESGGGLVQAGGSLRLSCVVSGRTFSAYAMEWFRQAPGKEREFVAGISGSGYSTYYADSVKGRFTISRDNAKNTVLLQMNSLKPEDTAVYYCASEPYWGQGTQVTVSS
| 0non-binder
|
QVQLQESGGGLVQPGGSLRLSCAASGFTLSSYAMSWVRQAPGKGLEWVSGINSGGGSTSYADSVKGRFTISRDNAKNTLYLQMNSLKPEDTAVYYCAEWWPSNYSPYWGQGTQVTVSS
| 0non-binder
|
QVQLQESGGGLVQPGGSLRLSCAASGFTFSSYHMTWVRQAPGKGLEWVSDITSDSRHTYYADSVKGRFTVSRDNAKNTVYLQMNSLNTEDTAVYYCAKDSGDSYEDYWGKGTQVTVSS
| 0non-binder
|
QVQLQESGGGLVQAGGSLRLSCAASGSTNSINAMGWYRQAPGKQRELVAVIASAGGDTNYADSVKGRFTISRDSAKNTLSLQMNSLKPEDTAVYYCNAVVGGKGPWTNLKYYGVDYWGKGTQVTVSS
| 0non-binder
|
QVQLQESGGGLVQPGGSLRLSCAASGFTFSSYAMSWVREPPGKGLEWVSGINTGGDKTTYRDSVKGRFTISRDNAQNTLYLQMNNLLPEDTAVYYCVKKTGDLTLDSGDWDREKYDAWGQGTQVTVSS
| 0non-binder
|
QVQLQESGGGLVQPGGSLRLSCAASGFTFSNYWMYWVRQGPGKGLEWVSSISNLGRSTYYADSVKGRFTISRDNAKNTMYLLMSSLKSEDTAVYYCANSFNLGAILGQGTQVTVSS
| 0non-binder
|
QVQLQESGGGLVQAGGSLRVSCSASGRTFSRHVMGWFRRAPGKEREFVAGISWSGGTTYYADSVEGRFTISRDNGKNTVYLQMNSLKPEDTAVYYCAADPRPRVVGGLLADFGSWGQGTQVTVSS
| 0non-binder
|
QVQLQESGGGLVQPGGSLRLSCAASGFTVTTYAMSWVRQAPGKGLEWVSTINPGGGRISYVDSVKGRFTISRDNAKNTLYLQMNSLKPEDTAVYYCGVGDGSSWRGQGTQVTVSS
| 0non-binder
|
QVQLQESGGGLVQPGGALRLSCAASGFEFAVYAMSWVRQAPGKGLEWVAAINSGSNTIDYADSVKGRFAISRDNAQNMLYLQMNNLKPEDTAVYYCAKPPTKLSFTAVTGLEKGHGTQVTVSS
| 0non-binder
|
QVQLQESGGGLVQPGGSLRLSCAASGFNTDHYAIGWFRQAPGKEREGVSCISSSSGNTNYADSVKGRFTISRDDAKNTVYLQMNSLKPEDTAVYYCASYRTIVRNMCQMLSDRYRYWGQGTQVTVSS
| 0non-binder
|
QVQLQESGGGLVQPGGSLRLSCAASGFNLDVYAIGWFRQAPGKEREGVSCISHSDYSTYYADSVKGRFTISRDNGKNTVSLQMNSLEPEDTAVYYCARALDYRSIATMNPPLWDTWGQGTQVTVSS
| 0non-binder
|
QVQLQESGGGLVQPGGSLRLSCAASGFAFSTYWMYWVRQAPGKGLEWVSCINTDGGATYYADSVKGRFTISRDNAKNTLYLQMNSLKSEDTAVYYCLNLAEAIIAGDWGQGTQVTVSS
| 0non-binder
|
QVQLQESGGGLVQAGGSLRLSCVASGRTFSSYAMGWFRQAPGKEREFVSAIGRSIGTYYADSVKGRFTISRDNAKNTVFLQMNSLKPEDTAVYFCAAGGSYYRSTERDYNYWGQGTQVTVSS
| 0non-binder
|
QVQLQESGGGLVQAGGSLRLSCVASGLTFSSSAMGWFRQAPGKEREFVAAISRSGGGTWYADSVKGRFTISRDNAKNTVYLQMNSLKPEDTAVYYCVADTAAILASKTWSRWKYWGQGTQVTVSS
| 0non-binder
|
QVQLQESGGGLVQAGGSLRLSCVASGLTFSGSAMGWFRQAPGKEREFVAAISWSGGGTWYADSVKGRFTISRDNAKNTVYLQMNSLKPEDTAVYYCVADTAAILASKTWSRWKYWGQGTQVTVSS
| 0non-binder
|
QVQLQESGGGLVQPGGSLKLSCVASGFTLSNYAIGWFRQAPGKEREGVSCINSSGSSTNYADSVKGRFTVSRDNGKNTVYLQMNSLKPEDTAVYYCASVIYSLQGMCAQRARAYRGQGTQVTVSS
| 0non-binder
|
QVQLQESGGGLVQPGGSLRLACAASGSTLHEYHIGWFRQAPGKEREGVSCISADSGGHTYYADSVKGRFTISRDNVKNTVYLQMNSLKPEDTAVYYCAADRVTTVWGMCVMTRYLDLIDDWGRGTQVTVSS
| 0non-binder
|
QVQLQESGGGLVQPGGSLRLSCTASGFTLDYYAIGWFRQAPGKEREGVSIMSGSDGSTYYADSVQGRFTISRDNAMNTVYLQMNNLKPEDTAVYYCAAEPYIGPINLYYSDSQRPEFGSWGQGTQVTVSS
| 0non-binder
|
QVQLQESGGGLVQPGGSLRLSCAASGFTLDYYNIGWFRQAPGKERKGVSCISGRGGSTRYADSVKGRFTIFRDNAKNTVYLQTDSLKSEDTAVYYCAADRFPDPCSLATTPLSGREYDYWGQGTQVTVSS
| 0non-binder
|
QVQLQESGGGLVQPGDSLRLSCAASGFTFGSYDMYWVRQAPGKGPEWVSHINSGGGSTYYADSVKGRFTISRDNAKNTLYLQMNSLKPEDTAVYYCATIYNDYGYDYWGQGTQVTSSH
| 0non-binder
|
QVQLQESGGGLVQAGGSMRLSCVASGRTFSPYAMAWFRQAPGKEREFVSALNWDGESTYYSDSVKGRFTISRDNAKNTMYLQMNGLKAEDTAVYYCAGRYHQAPSGLPSVYEVWGQGTQVTVSS
| 0non-binder
|
QVQLQESGGGLVQPGGSLRLSCAASASIFGLNTMGWYRQAPGKQRELVATITSGGSTNYADSVKGRFTISRDNAKDTMYLQMNSLKTEDTAVYYCNRNSTSWLFTWGQGTQVTVSS
| 0non-binder
|
QVQLQESGGGLVQPGGSLRLSCQASGLTFSIYAMSWVRQAPGKGLEWVSDINSDGDNTYYADSVKGRFTISRDNAKNTVDLQMNSLKPEDTGVYYCATDRRATIARMVTRADFGSWGQGTQVTVSS
| 0non-binder
|
QVQLQESGGGLVQPGGSLRLSCAASGFTFDDYTMNWVRQAPGKGLEWVSSITWNSRSTYYVESMKGRFTISRDNAKNTLYLHMNSLKSEDTAVYYCARTGTDWGASYDYWGQGTQVTVSS
| 0non-binder
|
QVQLQESGGGLVKPGGSLRLSCQASGLTFSIYAMSWVRQAPGKGLEWVSDINSDGDNQYYADSVKGRFTISRDNAKNTVDLQMNSLKPEDTGVYYCATDRRATIARMVTRADFGSWGQGTQVTVSS
| 0non-binder
|
QVQLQESGGGLVQPGGSLRLSCAASGFTFSNYYMNWVRRGPGKGLEWVSDIDSGGGTTYYADSVKGRFTISRDNAKNTLYLQMNSLTPEDTALYYCATGGATMREYKTWGQGTQVTVSS
| 0non-binder
|
QVQLQESGGGLVQPGGSLRLSCAASGFTFSSSSMSWARQAPGKGLEWVSGIYSDGSIHYADSVKGRFTISRDNAKNTVYLQINSLKPEDTAVYYCAARTGATPYDYWGQGTQVTVSS
| 0non-binder
|
QVQLQESGGGLVQPGGSLRLSCAASGFTFSMSVMSWARQAPGKGLEWVSAIWSDDITGYADSVKGRFTISRDNVKNTVSLEMNSLKPEDTAVYYCREHALGNWGQGTQVTVSS
| 0non-binder
|
QVQLQESGGGLVQPGGSLRLSCAASGFTFGSYDMSWVRQAPGKGPEWVSSINSGGGSTYYANSVKGRFTISRDNAKNTLYLQMNSLKPEDTAVYYCATDQGLVGAPHRYRGQGTQVTVSS
| 0non-binder
|
QVQLQESGGGLVQPGGSLRLSCAASGFTFSHYYMSWVRQAPGKGLEWVSDISSSGGTQYYADSVKGRFTISRDNAKNTLYLQMSNLTPEDTALYTCARGPGTAVAPLSEYWGRGTQVTVSS
| 0non-binder
|
QVQLQESGGGLVQPGGSLRLSCAASGFTFSINAMSWVRQAPGKGLEWVSDINSGGGSTSYADSVKGRFTISRDNAKNTLYLEMNSLKPEDTAVYYCLKKAGGYRGKGTQVTVSS
| 0non-binder
|
QVQLQESGGGLVQPGGSLRLSCAASGFSLDYYAIGWFRQAPGKEREGVSCISSNDGETYYPDSVKGRFTISRDNAKNTVYLQMNSLKPEDTAVYYCAADRDYRAVVAGIDAMDFWGKGTQVTVSS
| 0non-binder
|
QVQLQESGGGLVQPGGSLRLSCAASGFSLDGYAIGWFRQAPGKEREGVSRIGNSGGVTKYADSVKGRFTISTDNAKGTVYLQMNNLRPEDTAVYYCAAKIPNGYCSNYVLREGGRHYDYWGQGTQVTVSS
| 0non-binder
|
QVQLQESGGGLVQPGGSLRLSCAASGFTLDYYAIGWFRQAPGKEREGLLCISSSGGSTNYADSVKGRFTISRDNAKNTVYLQMNSLKPEDTASYYCTARWGDCTITTLRYSYRGQGTQVTVSS
| 0non-binder
|
QVQLQESGGGLVQPGGSLRLSCAASGFTLDYYAIGWFRQAPGKEREGVSCISSSGGSTNYADSVKGRFTISRDNAKNTVYLQMNSLKPEDTAVYYCAAAVWKKFYYSDYAKPDEYDYWGQGTQVTVSS
| 0non-binder
|
QVQLQESGGGLVQPGGSLRLSCAASGFTLDYYNIGWFRQAPGKGRKGVSCISGRGGSIRYADSVKGRFTIFRDNAKNTVYLQMDSLKSEDTAVYYCAADRFPDPCSLATTPLSGREYDYWGQGTQVTVSS
| 0non-binder
|
Human IL-6 binding dataset
Nanobodies binding IL-6 were obtained from the Github repo for Tsuruta et al. (2023). Labels for antibody sequences were provided from the Github repo as-is.
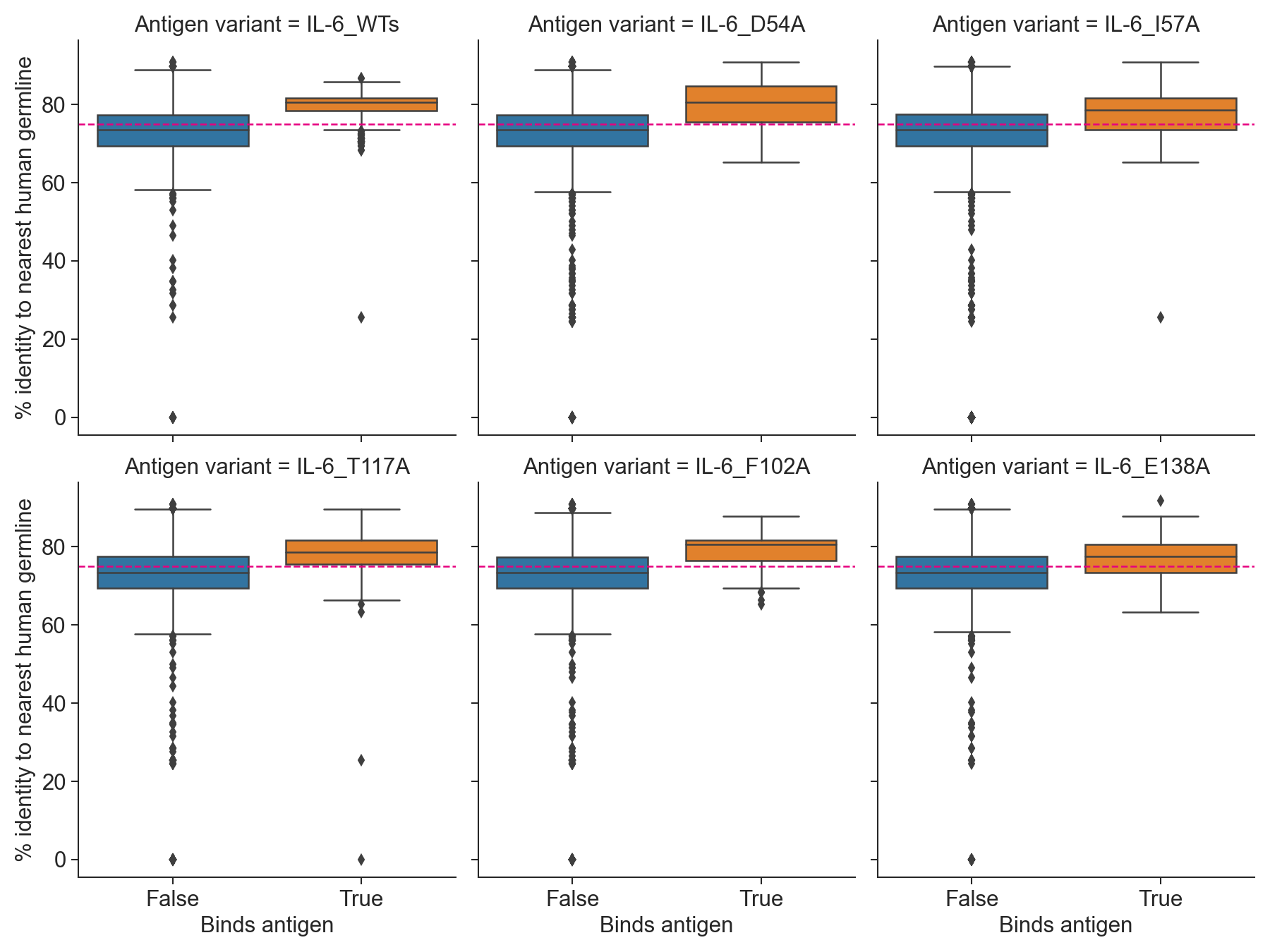
Briefly, we first removed any nanobody sequence having lower than 75%; human germline sequence identity was determined using ANARCI. 
Among the remaining 232084 sequences, we only use antibodies that have confirmed binding to one IL-6 variant or has no binding to any IL-6 variant, leading to 211920 sequences. This was de-duplicated, leading to a total of 14,467 sequences. Non-binder sequences were randomly under-sampled using imbalanced-learn.
During stratification, we also ensure that any two sequences in the training/validation/test sets have a minimum Levenshtein distance of 1 across the CDR3 region.
In total there are
- 1310 sequences in training
- 163 sequences in validation
- 163 sequences in test.
| vh_full | label |
|---|---|
| EVQ... | 1 |
| QVQ... | 0 |
| EVQ... | 1 |
| EVK... | 0 |
License
The data is distributed under a CC-BY-NC 4.0 license.
References
- Downloads last month
- 65