ESM-S

ESM-S (https://arxiv.org/abs/2402.05856) is a series of structure-informed protein language models, which are trained on remote homology detection tasks for distilling structural information. The corresponding datasets can be downloaded at https://huggingface.co/datasets/Oxer11/Protein-Function-Annotation. The codebase can be found at https://github.com/DeepGraphLearning/esm-s.

Training

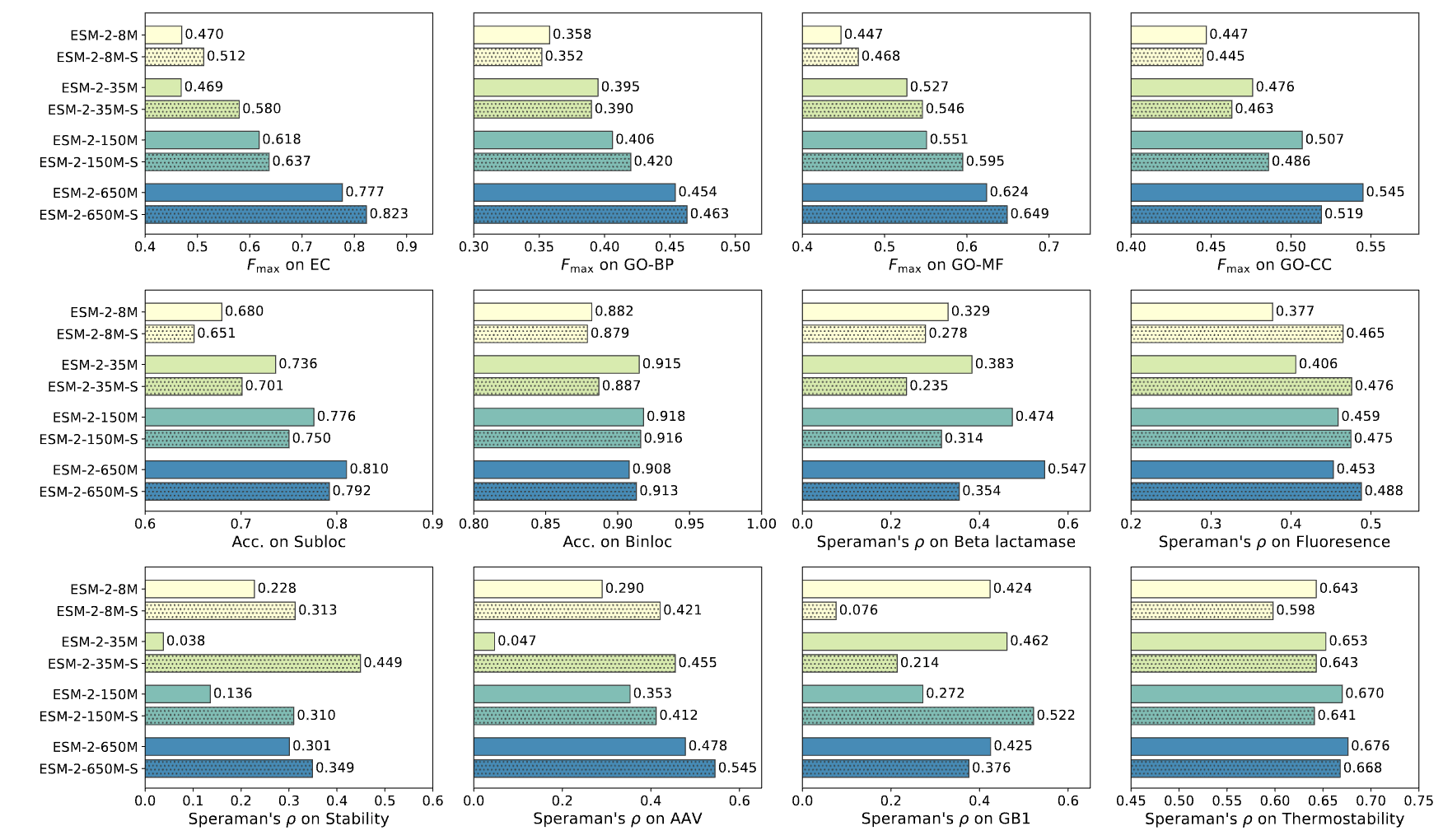
Evaluation Performance

Freezing model weights and train a 2-layer MLP on downstream function prediction tasks. Predictor

Using ESM-S representations to retrieve similar proteins for function annotation. Retriever

BibTeX

@article{zhang2024structureplm,
  title={Structure-Informed Protein Language Model},
  author={Zhang, Zuobai and Lu, Jiarui and Chenthamarakshan, Vijil and Lozano, Aurelie and Das, Payel and Tang, Jian},
  journal={arXiv preprint arXiv:2402.05856},
  year={2024}
}
Downloads last month

-

Downloads are not tracked for this model. How to track
Inference Providers NEW
This model isn't deployed by any Inference Provider. 🙋 Ask for provider support

Dataset used to train Oxer11/ESM-S