Hugging Face
Models
Datasets
Spaces
Community
Docs
Enterprise
Pricing
Log In
Sign Up
codewithdark
/
ViT-cifar100
like
0
Safetensors
Model card
Files
Files and versions
xet
Community
main
ViT-cifar100
/
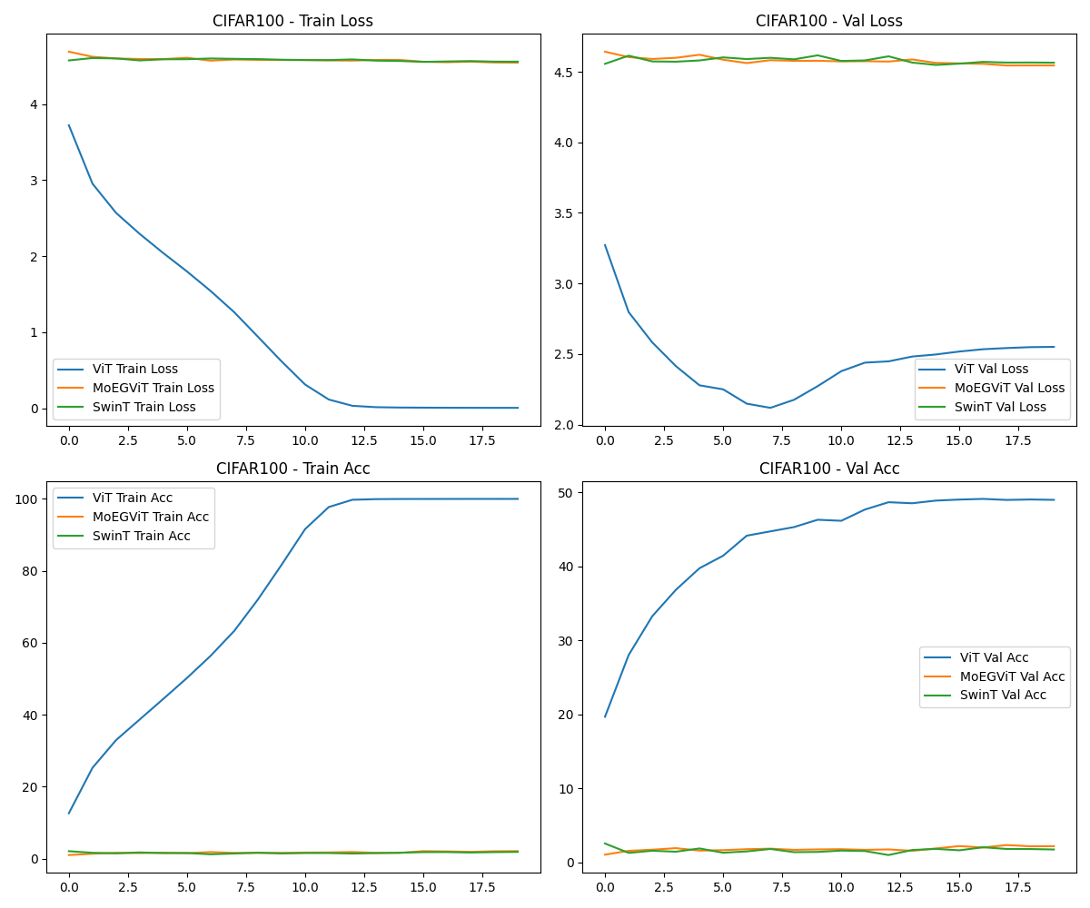
CIFAR100_comparison.png
codewithdark
Upload CIFAR100_comparison.png with huggingface_hub
3155dcb
verified
5 months ago
download
Copy download link
history
contribute
delete
95.2 kB